Предмет: Математика, автор: someone33

ПОЖАЛУЙСТА СРОЧНО НАДО ОЧЕНЬ ВОПРОС ЖИЗНИ И СМЕРТИ​

Приложения:

Itakeyourquenn: Это ведь 7 класс?
Itakeyourquenn: Если нет, то там 3 различных решения
someone33: да
Itakeyourquenn: два из них с корнями, которые проходят в 8
Itakeyourquenn: Ну тогда я всё правильно сделал
Itakeyourquenn: Удачи)
someone33: да, спасибо большое

Ответы

Автор ответа: Itakeyourquenn
0

Ответ:

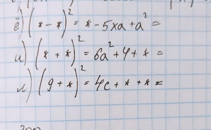
Всё внизу.

Пошаговое объяснение:

(* - *) {}^{2}  = * - 5xa + a {}^{2}  \\ (* - a) {}^{2}  = * - 2 \times 2.5xa + a {}^{2}  \\ (2.5x - a) {}^{2}  = 6.25x {}^{2}  - 5xa + a {}^{2}

(* + *) {}^{2}  = 6 {a}^{2}  + 4 + * \\ (* + 2) {}^{2}  = * + 2 \times 2 \times * + 4 \\ (1.5a {}^{2}  + 2) {}^{2}  = 2.25a {}^{4}  + 6a {}^{2}  + 4

(9 + *) {}^{2}  = 4c + * + * \\ (9 + *) {}^{2}  = 2 \times 9 \times * + * + * \\ (9 +  \frac{2}{9} c) {}^{2}  = 4c + 81 +  \frac{4}{81} c {}^{2}  \\ (9 +  \frac{2}{9} c) {}^{2} = 81 + 4c +  \frac{4}{81}  c  {}^{2}

Удачи☘.

Похожие вопросы
Предмет: Французский язык, автор: mishandle
Предмет: Алгебра, автор: fitskaterinka2