Предмет: Алгебра, автор: Аноним

Даю последние баллы
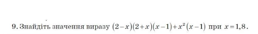
помогите пожалуйста​

Приложения:

Itakeyourquenn: Когда решил первым, а лучший ответ дали другому.

Ответы

Автор ответа: Itakeyourquenn
1

Ответ:

3,2

Объяснение:

(2 - x)(2 + x)(x - 1) + x {}^{2} (x - 1) \\( 4 - x {}^{2} )(x - 1) + x {}^{3}  - x {}^{2}  \\ 4x - 4 - x {}^{3}  + x {}^{2}  + x {}^{3}  - x {}^{2} \\ 4x - 4 \\  Подставляем: \\ 4 \times 1 .8 - 4 = 7.2 - 4 = 3.2

Удачи☘.

Автор ответа: lidiasaraa3
1

-----------------------------

Приложения:
Похожие вопросы