Предмет: Математика, автор: MolkyWay

Ребята!!! Помогите!!!

Приложения:

Ответы

Автор ответа: Miroslava227
1

Ответ:

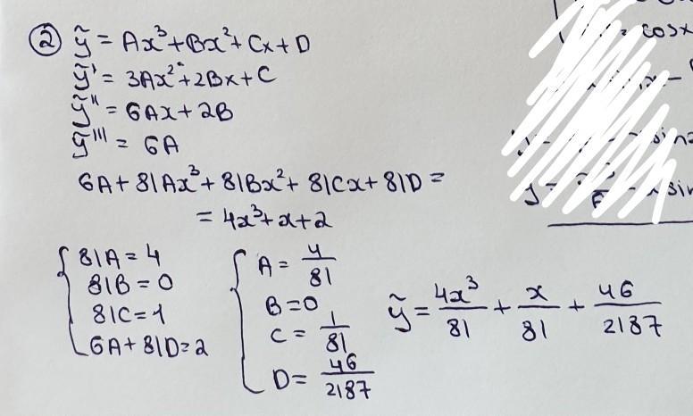
Ответ к 3 уравнению

Общее решение:

y =  {e}^{ - 3 \sqrt[3]{3} x}  +  {e}^{ \frac{3 \sqrt[3]{3} }{2}x } (C_1 \sin( \frac{3 \sqrt[6]{ {3}^{5} } }{2}x )  + C_2 \cos( \frac{3 \sqrt[6]{ {3}^{5} } }{2}x ) ) +  \frac{4 {x}^{3} }{81}  -  \frac{3x}{16}  +  \frac{46}{2187}  \\

Приложения:
Похожие вопросы
Предмет: Окружающий мир, автор: swemlana