Предмет: Алгебра, автор: 0876543112

СРОЧНООО
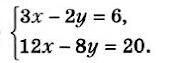
Решите систему уравнения

Приложения:

Ответы

Автор ответа: kononovae90740
2

Ответ: в фото, прикрепленном ниже

Приложения:
Автор ответа: CrazyTapok227
0

Ответ:

\left \{ {{3x-2y=6} \atop {12x-8y=20}} \right. \\\left \{ {{x=2+\frac{2}{3}y } \atop 12x-8y=20}} \right. \\12(2+\frac{2}{3}y)-8y=20\\(x,y)=0

Объяснение:

Система уравнений не имеет решений последнее будет (x,y)∈ø

Похожие вопросы
Предмет: Биология, автор: liza12bebocom