Предмет: Математика,
автор: mpodstreshnaya
ПОЖАЛУЙСТА ПОМОГИТЕ!!!
Приложения:
Ответы
Автор ответа:
0
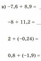
Ответ:
1. 1,3
2. 3,2
3. 1,76
4. -1,1
mpodstreshnaya:
а можно пожалуйста с пошаговым решением?
ааа ой ладно пофиг
Похожие вопросы
Предмет: Русский язык,
автор: matyushkina05
Предмет: Английский язык,
автор: iramuntyanova
Предмет: Английский язык,
автор: julia16161
Предмет: Математика,
автор: fsahhfkjsajk
Предмет: Другие предметы,
автор: lololoki03