Предмет: Математика,
автор: sergey453789
Вычислить пределы функций, не пользуясь средствами
дифференциального исчисления.Помогите пожалуйста
Приложения:
Ответы
Автор ответа:
1
Ответ:
3
Пошаговое объяснение:
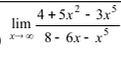
Преобразуем выражение:
A=(4/x^5)+(5/x^3)-3
B=(8/x^5)-(6/x^3)-1
Дробь преобразуется в
C=A/B
Предел А равен (-3)
Предел В=-1
Предел отношения равен 3
Похожие вопросы
Предмет: Русский язык,
автор: maksimkak02
Предмет: Английский язык,
автор: nataha091985
Предмет: Английский язык,
автор: Lena767
Предмет: Математика,
автор: ВопросикКом
Предмет: Математика,
автор: lll42