Предмет: Математика,
автор: Аноним
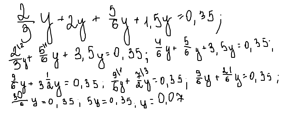
И етот 2/3 y+2y+5/6y+1,5y=0,35. /-ето дробовая полоса
Ответы
Автор ответа:
0
у меня получилось так:::::::::::::::::::::
Приложения:
Похожие вопросы
Предмет: Литература,
автор: arina02082010
Предмет: Геометрия,
автор: Аноним
Предмет: Другие предметы,
автор: Аноним
Предмет: Математика,
автор: Maksim9
Предмет: Физика,
автор: poiuylkjhmnb