Предмет: Математика, автор: Snuppiman

Исследовать сходимость числового ряда! Очень нужно!

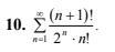
Приложения:

Ответы

Автор ответа: pushpull
1

Ответ:

Пошаговое объяснение:

сначала упростим общий вид членов ряда

\displaystyle \frac{n!(n+1)}{2^n*n!} =\frac{n+1}{2^n}

(это можно сделать, пользуясь свойствами пределов - получим равнозначный ряд)

теперь применим ризнак Даламбера

\displaystyle  \lim_{n \to \infty} \frac{u_{n+1}}{u_n}  = q

при q < 1 - ряд сходится, q > 1 - ряд расходится, q = 1 - неопределенность (дополнительные исследования)

у нас

при q < 1 - ряд сходится, q > 1 - ряд расходится, q = 1 - получаем неопределенность (дополнительные исследования)

у нас

\displaystyle  \lim_{n \to \infty} \bigg (\frac{n+2}{2^{n+1}}  :\frac{n+1}{2^n} \bigg )=\frac{n+2}{2n+2} =\frac{1}{2}

q < 1 - ряд сходится

( можно было и сразу "в лоб" применять признак Даламбера не упрощая формулу - результат был бы тот же...)

Похожие вопросы