Предмет: Математика,
автор: zhanel14011
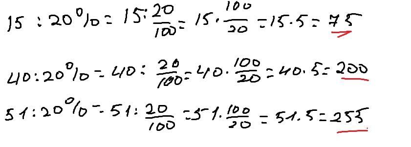
2) найдите число, 20 % которого равны 15, 40, 51.
Ответы
Автор ответа:
2
Ответ:
Пошаговое объяснение:
на фото
Приложения:
InaraHelper:
я не поняла почему у него ответ первее моего стоит я первее сделала
Автор ответа:
2
Ответ:
75,200,255
Пошаговое объяснение:
здесь очень просто.самый легкий способ,так как как 20% это 1/5 можно число умножить на 5
Похожие вопросы
Предмет: Английский язык,
автор: 89193000
Предмет: Русский язык,
автор: Аноним
Предмет: Русский язык,
автор: Аноним
Предмет: Биология,
автор: Алина041111
Предмет: Английский язык,
автор: reynicelovep4vlny