Предмет: Алгебра,
автор: mrkksksksksk
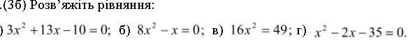
Помогите Алгебра 8 клас
Приложения:
Ответы
Автор ответа:
1
Ответ:вот
Объяснение:
Приложения:
Похожие вопросы
Предмет: Русский язык,
автор: shomohom
Предмет: Окружающий мир,
автор: maslinkasala
Предмет: Русский язык,
автор: винипух1
Предмет: Математика,
автор: violettazhenere
Предмет: Алгебра,
автор: dsdada