Предмет: Алгебра, автор: mrkksksksksk

Помогите алгебра 8 клас

Приложения:

Ответы

Автор ответа: lotysh2003
0

Ответ:

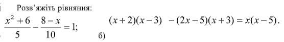
2.

x²-3x+2x-6-2x²+6x-5x-15=x²-5x

x²-3x+2x-6-2x²+6x-5x-15-x²+5x=0

-2x²+7x-6=0

D=7²-4*(-2)*(-6)=49-48=1

-7+√1 -6 - 3 1

x1= --------- = ------- = ------= - 1 -----

2*(-2) -2 -2 2

-7-√1. -8

x2= --------- = ---------= -2

2*(-2). -4

Приложения:

mrkksksksksk: x1= --------- = ------- = ------= - 1 -----

2*(-2) -2 -2 2

-7-√1. -8

x2= --------- = ---------= -2

2*(-2). -4
mrkksksksksk: це що?
mrkksksksksk: як його записувати?
lotysh2003: есть какая нибудь социальная сеть?
lotysh2003: я скину, как я вижу и как нужно написать
lotysh2003: хотя, сейчас
lotysh2003: я прикреплю
lotysh2003: прикрепила
Похожие вопросы
Предмет: Окружающий мир, автор: andreykartoshki