Предмет: Алгебра,
автор: ilka20
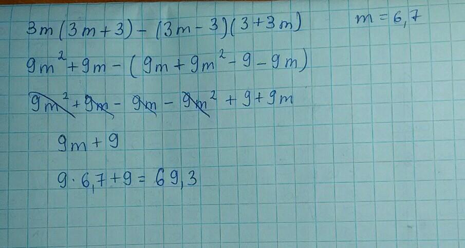
Упрости выражение и найди его значение при m=6,7.
3m(3m+3)−(3m−3)(3+3m)
ПРОШУ!!!!
Ответы
Автор ответа:
1
Объяснение:
.....................
Приложения:
ilka20:
спасибо))
Похожие вопросы
Предмет: Русский язык,
автор: zventohka4
Предмет: Русский язык,
автор: asemgulbekkuzhi
Предмет: Русский язык,
автор: tori35F
Предмет: Алгебра,
автор: xusagagu
Предмет: Математика,
автор: artem3366t