Предмет: Алгебра, автор: shalabajanna

Помогите пожалуйста,СРОЧНО!​

Приложения:

Ответы

Автор ответа: adilaadilam
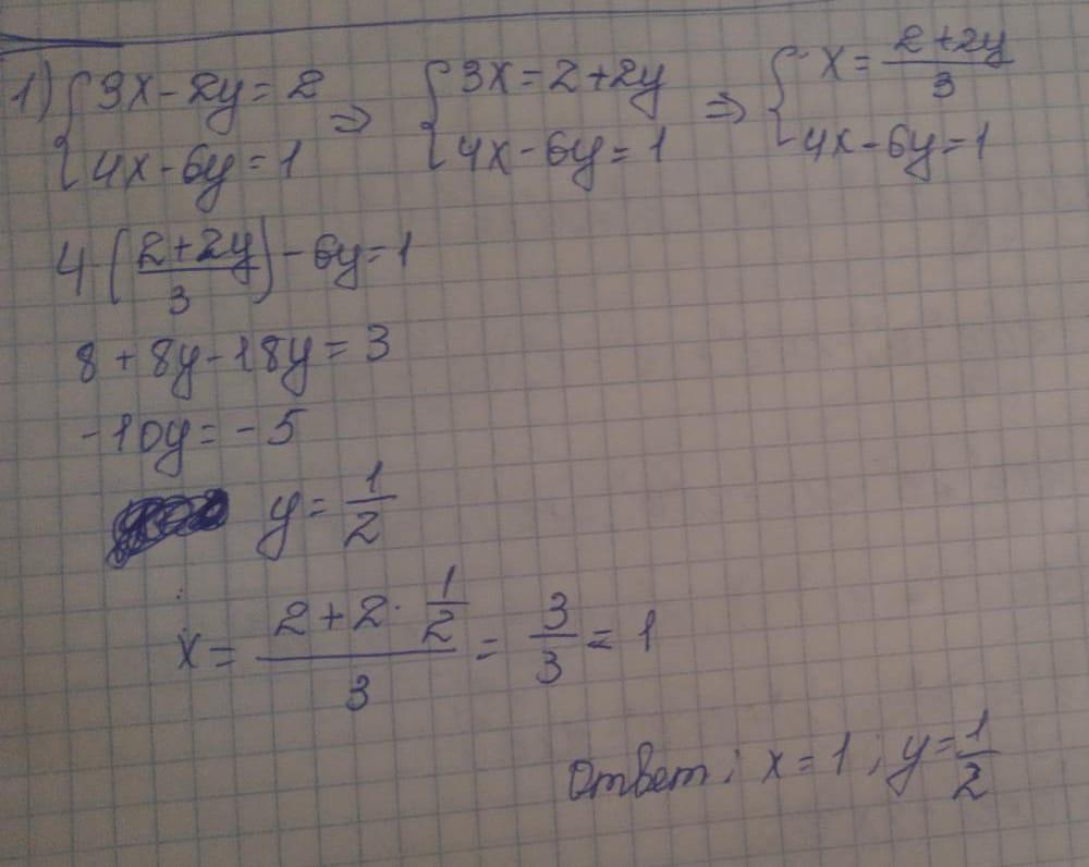
1

2) ответ: х=2 у=4

3) ответ:  х=6 у=3                                                                                                                                                                                                

4) ответ : х=10  у=14                                                                                                                                                                                                                                                                                                                                                  

Приложения:

shalabajanna: А можно пожалуйста полностью решение 2 и 3 примера,пожалуйста))
Похожие вопросы
Предмет: Русский язык, автор: Enforced
Предмет: Русский язык, автор: Бульба2001
Предмет: Английский язык, автор: Evaship