Предмет: Математика,
автор: diddvdi77
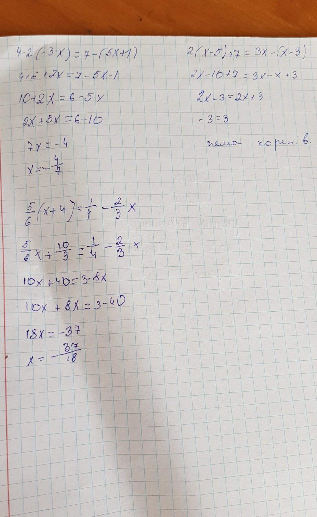
Розв язати рівняння:
а)4-2(-3-х)=7-(5х+1)
б)2(х-5)+7=3х-(х-3)
в)5/6(х+4)=1/4-2/3х
Помогите пожалуйста!!!
Ответы
Автор ответа:
1
Ответ:
а)х=-4/7
б)=нет коренев
в)х=-37/18
Пошаговое объяснение:
надеюсь розберешся сорри за мой почерк
Приложения:
Похожие вопросы
Предмет: Русский язык,
автор: sun5555
Предмет: Русский язык,
автор: Savelilugovoi201
Предмет: Английский язык,
автор: 10Ирина11Катаева2002
Предмет: Литература,
автор: pankinigor2015
Предмет: Математика,
автор: ritА666