Предмет: Алгебра,
автор: ArsenTurar001
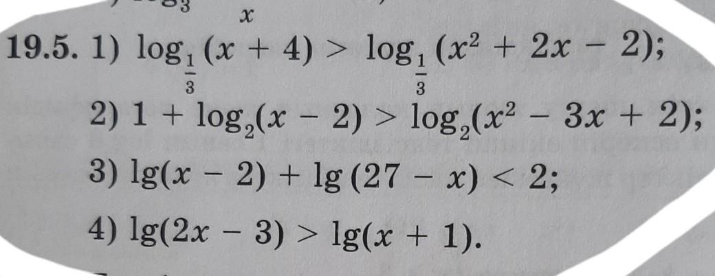
решите неравенства
заранее благодарю
Приложения:
Ответы
Автор ответа:
1
Ответ:
решение на фотографиях
Приложения:
ArsenTurar001:
спасибо!
Похожие вопросы
Предмет: Русский язык,
автор: natalikisadeni
Предмет: Русский язык,
автор: Gurbanberdy
Предмет: Окружающий мир,
автор: elena149
Предмет: Математика,
автор: Тораloveютуб
Предмет: Алгебра,
автор: mru199