Предмет: Алгебра,
автор: sashafediura
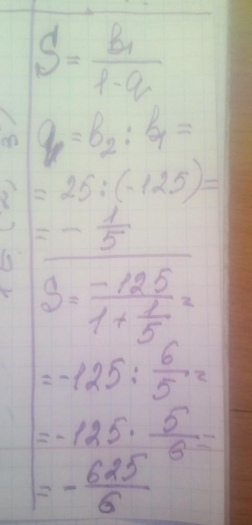
знайти суму нескінченої геометричної прогресії -125,25,-25...
Ответы
Автор ответа:
0
Ответ:
решение смотри на фотографии
Приложения:
Похожие вопросы
Предмет: Українська мова,
автор: polina99pp
Предмет: Русский язык,
автор: nat25704691
Предмет: Русский язык,
автор: zhanat1980
Предмет: География,
автор: 0Ксения11111111111
Предмет: Английский язык,
автор: аленка698