Предмет: Алгебра,
автор: boom7777777
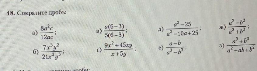
помогите пожалуйста, мне срочно нужны ответы на а, в, ж, 3.
Приложения:
Ответы
Автор ответа:
0
Ответ:
ответ на фотографии с решением
Приложения:
Похожие вопросы
Предмет: Русский язык,
автор: game133
Предмет: Русский язык,
автор: vidonova
Предмет: Русский язык,
автор: zsapakova
Предмет: Химия,
автор: vipnastyastepnastya
Предмет: Алгебра,
автор: adriana035