Предмет: Математика,
автор: jojo410
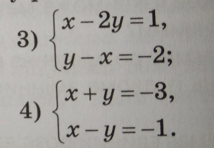
Вторая часть задания, очень прошу)
Приложения:
Ответы
Автор ответа:
1
Ответ:
Решение к заданию на фото
Приложения:
Похожие вопросы
Предмет: Английский язык,
автор: лика451
Предмет: Українська література,
автор: geynik
Предмет: Українська мова,
автор: alyalyovina
Предмет: Русский язык,
автор: Привэ45
Предмет: Геометрия,
автор: DavidSergeev