Предмет: Химия,
автор: Temik55
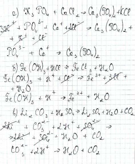
Решите пожалуйста химию 4 вариант, Срочно!!! Даю 15 баллов
Приложения:
Ответы
Автор ответа:
0
Ответ:
______________________
Приложения:
Похожие вопросы
Предмет: Русский язык,
автор: safronovandrew
Предмет: Русский язык,
автор: про174
Предмет: Английский язык,
автор: Sergeyevgrasha
Предмет: Биология,
автор: jksdasd213
Предмет: Литература,
автор: Совушка111111111111