Предмет: Алгебра, автор: rerir6033

Помогите пожалуйста, уже полчаса бьюсь над этим, не понимаю почему не получается( Нужно решить данную систему уравнений с помощью метода замены переменных. Если не сложно объясните ход своего решения.

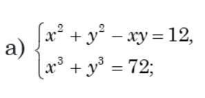
Приложения:

Ответы

Автор ответа: toughtcookieua
1

Відповідь:

\left \{ {{x^2+y^2-xy=12} \atop {x^3+y^3=72}} \right. \\1)x^3+y^3=(x+y)(x^2-xy+y^2)\\\\

делим 2ое на 1ое

\frac{(x+y)(x^2-xy+y^2)}{x^2+y^2-xy}= \frac{72}{12} \\\\x+y=6\\x=6-y\\\\(6-y)^2+y^2-y(6-y)=12\\36-12y+y^2+y^2-6y+y^2-12=0\\3y^2-18y+24=0\\D=324-288=36=6^2\\x_{1} =4\\x_{2} =2\\\\x_{1}=4\\y_{1}=2\\\\x_{2}=2\\y_{2}=4

Пояснення:

Похожие вопросы
Предмет: Окружающий мир, автор: коти12
Предмет: Математика, автор: SKKSOPPS