Предмет: Алгебра,
автор: darakelova3
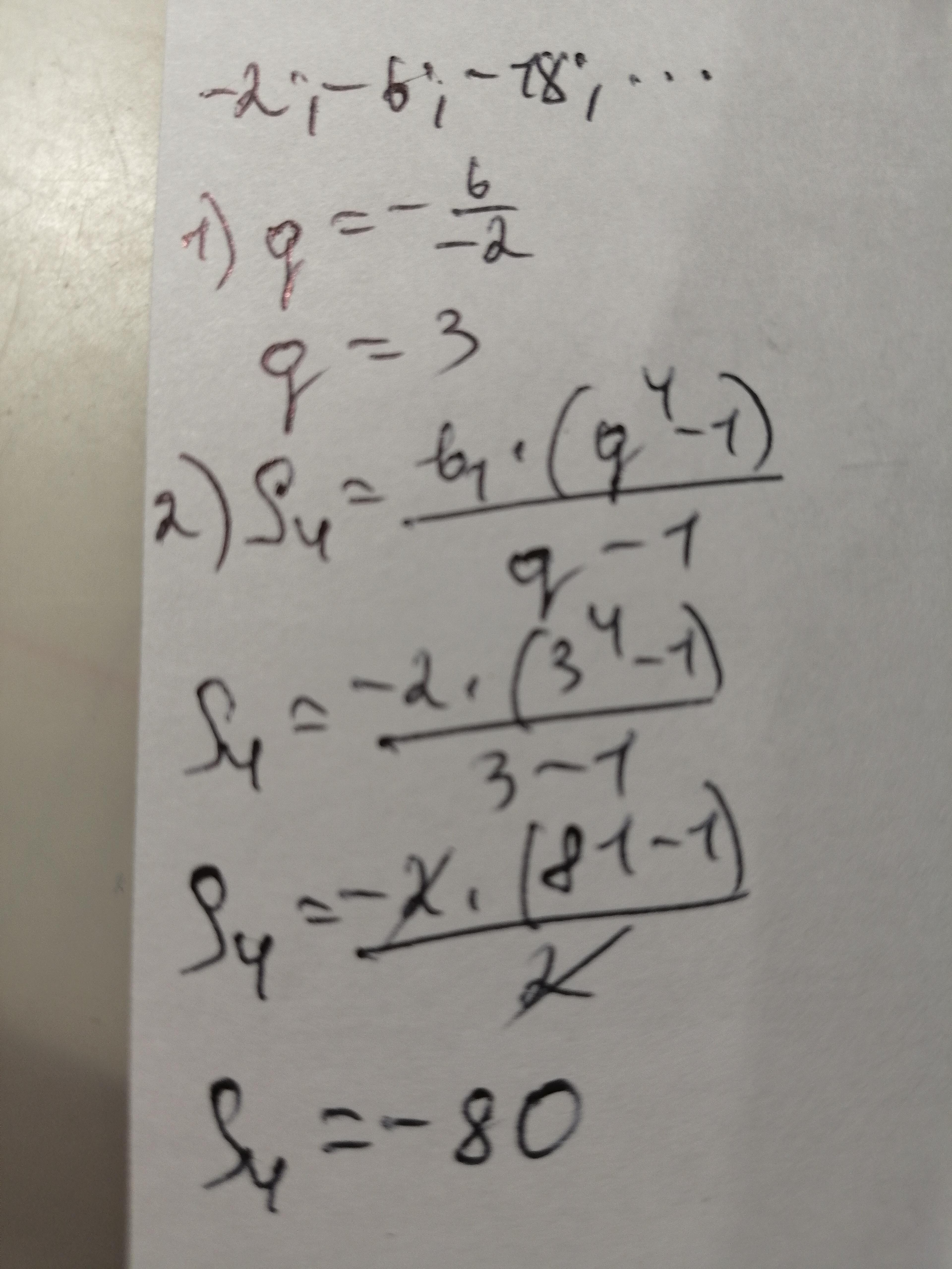
чому дорівнює сума чотирьох перших членів геометричної прогресії : - 2; - 6; - 18
Срочно
Ответы
Автор ответа:
4
Ответ:
Объяснение:
Всё решаем по формулам.
Приложения:
Похожие вопросы
Предмет: Русский язык,
автор: DsriaStop
Предмет: Русский язык,
автор: Sagradyan111
Предмет: Русский язык,
автор: поля265
Предмет: Математика,
автор: Romanius1
Предмет: Русский язык,
автор: maksim2286228