Предмет: Математика,
автор: sophiagrigorenko2003
Как решить эти примеры? Подскажите пожалуйста
Приложения:
Ответы
Автор ответа:
1
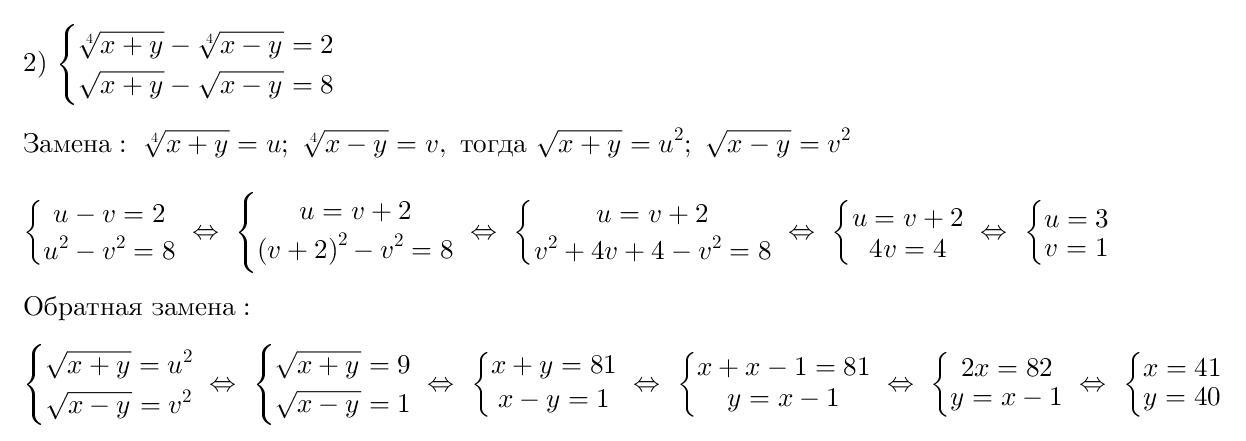
Ответ:
1) -21; 21
2) (41;40)
Пошаговое объяснение:
В обоих примерах я не указывал ограничения (ОДЗ), поэтому при нахождении корней было бы неплохо тебе подставить их в исходное уравнение (систему уравнений) и убедится, что эти корни нам подходят.
Приложения:
Похожие вопросы
Предмет: Русский язык,
автор: 1Степан1
Предмет: Русский язык,
автор: saida981
Предмет: Русский язык,
автор: amenshih
Предмет: Алгебра,
автор: golceviliya201p5v706
Предмет: Литература,
автор: vsempeaaaaas