Предмет: Алгебра,
автор: Goglovamaria
Помогите плиз!.Решите все 3 задания!!!
Приложения:
Ответы
Автор ответа:
1
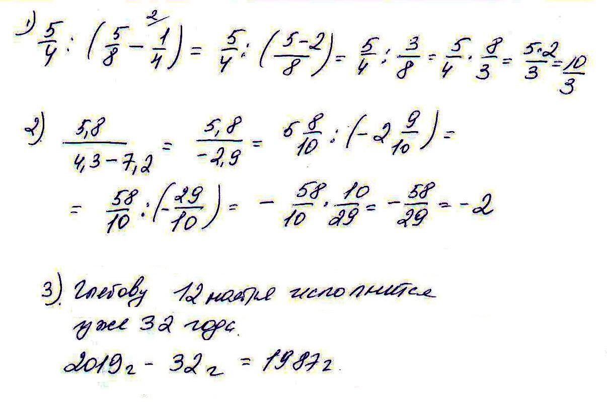
Ответ:
Объяснение:
на фото
Приложения:
Похожие вопросы
Предмет: Английский язык,
автор: Данякеп
Предмет: Английский язык,
автор: Данякеп
Предмет: Русский язык,
автор: erofeevvova
Предмет: ОБЖ,
автор: slavaaganin03
Предмет: Математика,
автор: ayNikuliAyu