Предмет: Алгебра,
автор: ggwp2222
Очень срочно! 94 балла системы уравнений разными методами 2 блока
Приложения:
mioks:
прямо все пункты нужны?
Нет можно только 1 блок
2 необязательно
ну без разницы вообщем
2 или 1
решайте какой удобнее
Ответы
Автор ответа:
0
Ответ:
Объяснение:
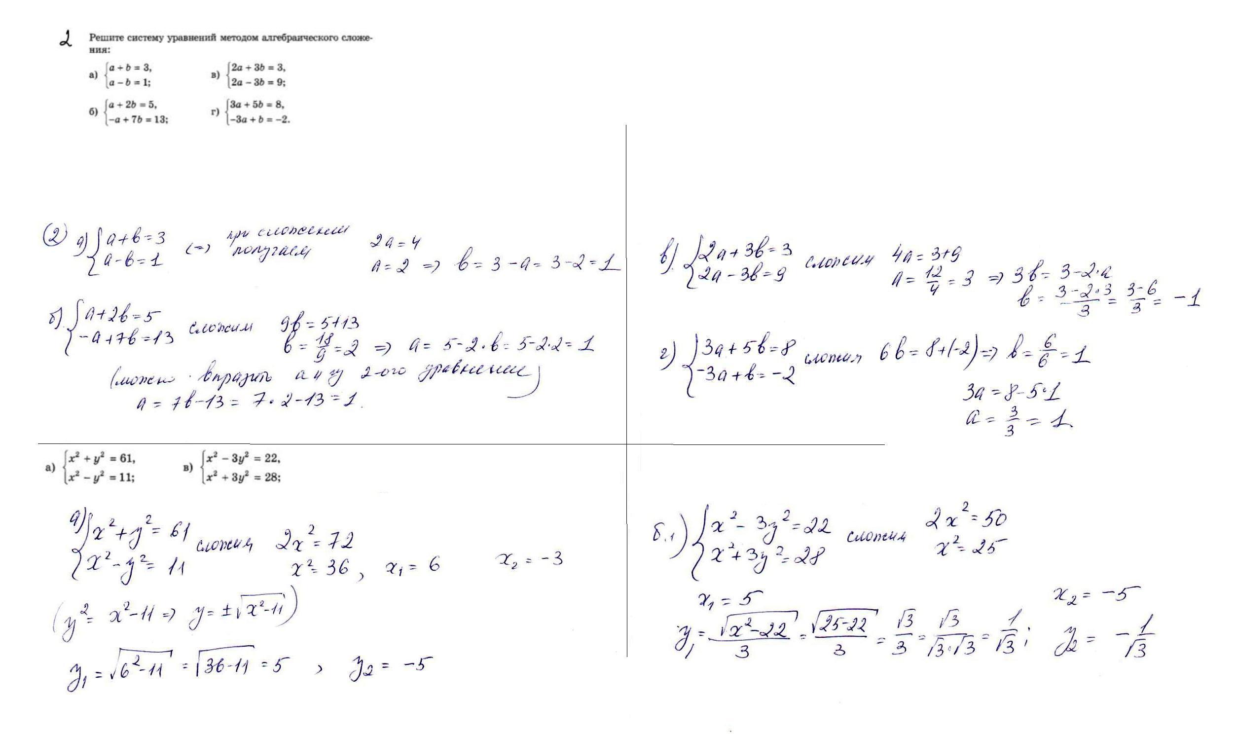
на фото
Приложения:
Похожие вопросы
Предмет: Другие предметы,
автор: kamila2597
Предмет: Окружающий мир,
автор: рена5
Предмет: Английский язык,
автор: мария2221
Предмет: Обществознание,
автор: Василиса432866
Предмет: Алгебра,
автор: kikstart