Предмет: Математика,
автор: anna5299
помогите срочно!!!!!!
Приложения:
Ответы
Автор ответа:
1
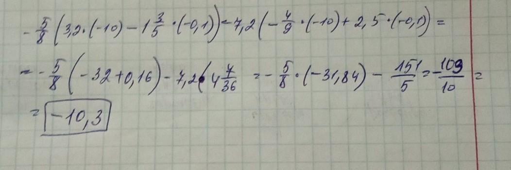
Ответ:
Ответ на фото............
Приложения:
anna5299:
дякую ♥️
Похожие вопросы
Предмет: Русский язык,
автор: bubab
Предмет: Русский язык,
автор: ggylysa
Предмет: Другие предметы,
автор: Lidkakukolka
Предмет: Математика,
автор: Аноним
Предмет: Окружающий мир,
автор: ЛизикУ