Предмет: Алгебра, автор: Nhew

Решите пожалуйста
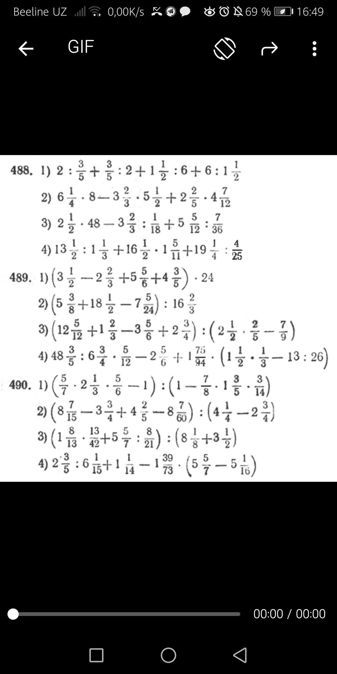
Дам 70баллов

Приложения:

Ответы

Автор ответа: Аноним
1

Ответ:

488.1) \frac{413}{60}  \\  \\ 2) \frac{1393}{30}  \\  \\ 3) \frac{573}{7}  \\  \\ 4) \frac{2117}{16}   \\  \\ 489.1) \frac{1352}{5}  \\  \\ 2) \frac{25}{36}  \\  \\ 3) \frac{117}{2}  \\  \\ 4) -  \frac{29}{96}

Похожие вопросы
Предмет: Математика, автор: NikaPisareva2004