Предмет: Математика,
автор: marina0kim
Помогите, пожалуйста, решить:
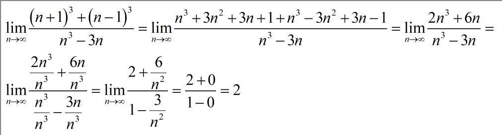
lim n→x ((n+1)^3+(n-1)^3)/(n^3-3n)
Приложения:
Ответы
Автор ответа:
0
Ответ:
2
Пошаговое объяснение:
/////////////////////
Приложения:
Похожие вопросы
Предмет: Русский язык,
автор: влад139власов
Предмет: Русский язык,
автор: tolstova1985
Предмет: Английский язык,
автор: Пому
Предмет: История,
автор: mydric
Предмет: Математика,
автор: czvetaeva02