Предмет: Химия,
автор: dianwer34
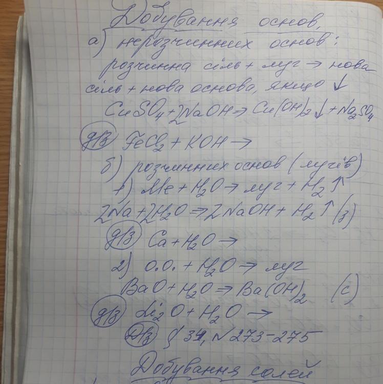
Помогите пожалуйста решить
Приложения:
Ответы
Автор ответа:
1
FeCl2 + 2KOH = 2KCl + Fe(OH)2
Ca + 2HOH = Ca(OH)2 + H2
Li2O + HOH = 2LiOH
Похожие вопросы
Предмет: Русский язык,
автор: alikr1001
Предмет: Другие предметы,
автор: abibulaevasasha
Предмет: Русский язык,
автор: Barsik111
Предмет: Математика,
автор: nastytany121
Предмет: Экономика,
автор: sofa1313siste