Предмет: Математика,
автор: pupsiklex
35 балов за лёгкие математические задания
Надеюсь поможете)
Приложения:
Ответы
Автор ответа:
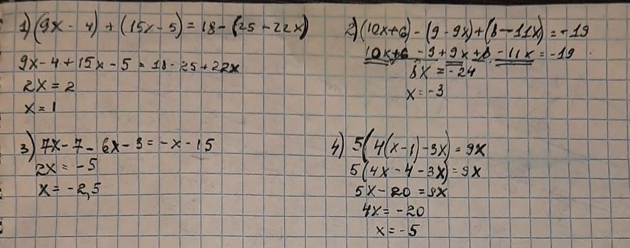
1
....Решение во вложении
Приложения:
pupsiklex:
лучший, брат
Похожие вопросы
Предмет: Русский язык,
автор: krista2705
Предмет: Русский язык,
автор: AmMax1101
Предмет: Українська мова,
автор: ivankozm
Предмет: Українська література,
автор: draganovaluda2005
Предмет: Информатика,
автор: Аноним