Предмет: Математика, автор: LubiluPelmeni

РЕШИТЕ ПЖ ПЖ ПЖ ДАМ 15 баллов

Приложения:

Ответы

Автор ответа: natalyabryukhova
1

Ответ:

(36;3)

Пошаговое объяснение:

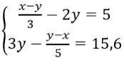
\left \{ {{\frac{x-y}{3}-2y=5\;\;\;|*3 } \atop {3y-\frac{y-x}{5}=15,6\;\;\;|*5 }} \right.\\\\\left \{ {{x-y-6y=15} \atop {15y-y+x=78}} \right.  \\\\\left \{ {{x-7y=15\;\;\;|*2} \atop {x+14y=78}} \right.

Умножим первое уравнение на 2 и решим методом сложения:

\left \{ {{2x-14y=30} \atop {x+14y=78}} \right. \\--------\\3x=108\\x=108:3\\x=36

Вставим значение х во второе (можно в любое) уравнение и найдем у :

36+14y=78\\14y=42\\y=42:14\\y=3

Ответ: (36;3)

Похожие вопросы
Предмет: Русский язык, автор: gra41986
Предмет: Другие предметы, автор: КатюшаВэй
Предмет: Алгебра, автор: mrssmile63