Предмет: Математика,
автор: Аноним
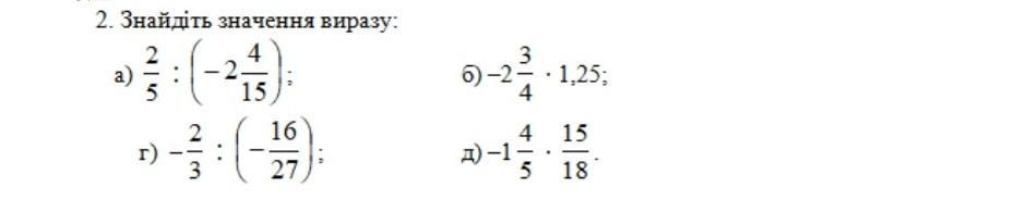
знайдіть значення виразу: даю 30 баллов
Приложения:
Ответы
Автор ответа:
1
Решение на фотографии.
Приложения:
Похожие вопросы
Предмет: Русский язык,
автор: Аноним
Предмет: Русский язык,
автор: винасуэла
Предмет: Русский язык,
автор: FallenWolf9051
Предмет: Английский язык,
автор: chuegevara