Предмет: Математика, автор: charly07

вычислить
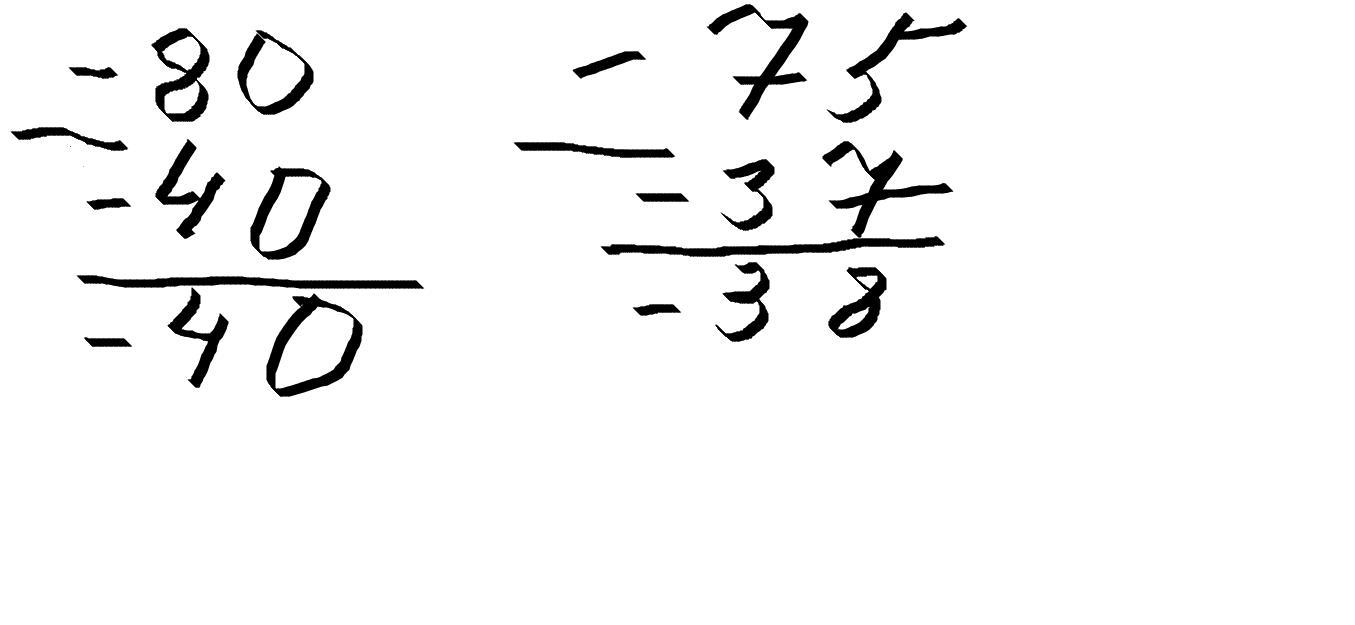
-80-(- 40)
-75-(-37)

Ответы

Автор ответа: clon83
0

Пошаговое объяснение:

1)-80-(-40)=-80+40=-40

2)-75-(-37)=-75+37=38

Так как если минус на минус даёт плюс


papagenius: второй ответ
Аноним: 2)= - 38
Автор ответа: KOTNKN
1

Ответ:

Пошаговое объяснение:

-80-(- 40)=-40

-75-(-37)=-38

Приложения:
Похожие вопросы
Предмет: Русский язык, автор: Aoaoaoaoaoaoaoaoaoa
Предмет: Окружающий мир, автор: Тимур20051
Предмет: Математика, автор: иришенька12