Предмет: Информатика,
автор: MorgaMargo
решить в пайтоне.
можете прислать скрин. пожааааалуйста, я вообще не шарю как это делать
Приложения:
vloganima:
ПВсё нужно?
можешь хотя бы 2
Окей
Ответы
Автор ответа:
1
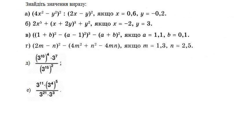
#a
x = 0.6
y = -0.2
rez = (4*x**2-y**2)**2/((2*x-y)**2)
print(rez)
#б
x = -2
y = 3
rez = 2 * x**5 + (x+2*y)**3 + y**2
print(rez)
#в
a = 1.1
b = 0.1
rez = ((1+b)**2 - (a-1)**2)**3 - (a+b)**2
print(rez)
#г
m = 1.3
n = 2.5
rez = (2*m-n)**2 - (4*m**2+n**2-4*m*n)
print(rez)
#д
rez = ((3**10)**4 * 3**7) / ((3**15)**2)
print(rez)
#е)
rez = (3**11 * (3**4)**5) / (3**21 * 3**3)
print(rez)
Приложения:
Похожие вопросы
Предмет: Русский язык,
автор: лыш
Предмет: Русский язык,
автор: Dashamina
Предмет: Українська література,
автор: burlaka1203
Предмет: Русский язык,
автор: Эвц
Предмет: Русский язык,
автор: mgo2