Предмет: Математика, автор: kvan2me

решите пжл простите за качество​

Приложения:

qwertyalex1298: p задание: -5⅓ или -5⅛?

Ответы

Автор ответа: lochgipon
1

Ответ:

все расписано в объяснении

Пошаговое объяснение:

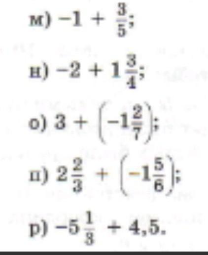
M) -1+\frac{3}{5} =\frac{-5+3}{5}=\frac{-2}{5} \\H) -2+1\frac{3}{4}=-2+\frac{7}{4} =-\frac{1}{4}  \\O)3+(-1\frac{2}{7} )=3-\frac{9}{7}  =\frac{12}{7}\\n)2\frac{2}{3} +(-1\frac{5}{6})=\frac{8}{3} -\frac{11}{6}  =\frac{5}{6}\\p) -5\frac{1}{3} +4,5=-\frac{16}{3} +\frac{9}{2} =-\frac{5}{6}

Автор ответа: qwertyalex1298
0

Пошаговое объяснение:

-1+⅗=-5/5+⅗=-⅖=-0.4

-2+1¾=-1 4/4+1¾=-1/4=-0.25

3+(-1 2/7)=3-1 2/7= 2 7/7 - 1 2/7= 1 5/7

2⅔+(-1⅚)=2⅔-1⅚=2 4/6-1⅚= 1 10/6-1⅚= 5/6

-5⅛+4.5= -5⅛+9/2=-5⅛+36/8=-41/8+36/8= -5/8

Похожие вопросы
Предмет: Окружающий мир, автор: darminaolga
Предмет: Биология, автор: про100про3