Предмет: Алгебра,
автор: Ukranianian
ПЖПЖПЖПЖПЖПЖ пжпжпжпжжпжп
Приложения:
Ответы
Автор ответа:
1
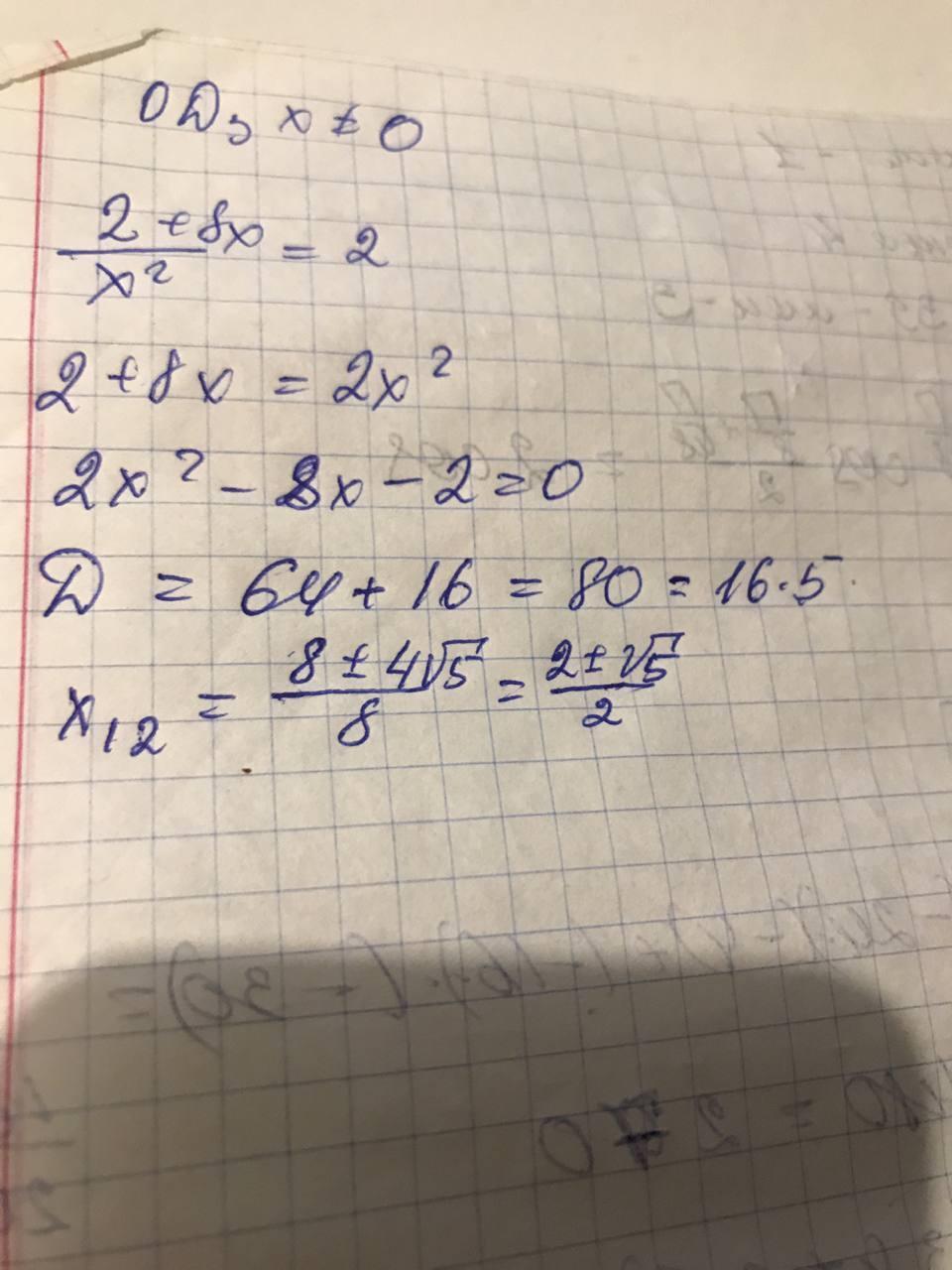
Ответ:
два плюс минус корень из пяти и все это деленное на два
Объяснение:
Приложения:
Ukranianian:
а ето на 8 клас?
вообще квадратные уранение - это тема 8 класса. вроде второе полугодие
Похожие вопросы
Предмет: Русский язык,
автор: Аноним
Предмет: Немецкий язык,
автор: vmezdrin
Предмет: Английский язык,
автор: ateryuhov
Предмет: Окружающий мир,
автор: MRGlx
Предмет: Математика,
автор: romka20002