Предмет: Математика, автор: Аноним

СРОЧНО ОТВЕТ В 4 ДАЮ 50 БАЛОВ

Приложения:

Ответы

Автор ответа: KOTNKN
1

Ответ:

-1

Пошаговое объяснение:

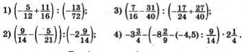
(-3\frac{3}{4})-((-8\frac{2}{9})-(-4,5):\frac{9}{14})*2\frac{1}{4}=(-3\frac{3}{4})- (-8\frac{2}{9}-(-7))*2\frac{1}{4}=(-3\frac{3}{4})- (-1\frac{2}{9}) *2\frac{1}{4}=(-1)

Автор ответа: Аноним
1

Ответ:

решение на фотографии)

Приложения:
Похожие вопросы
Предмет: Другие предметы, автор: maryk6806