Предмет: Математика,
автор: muha71
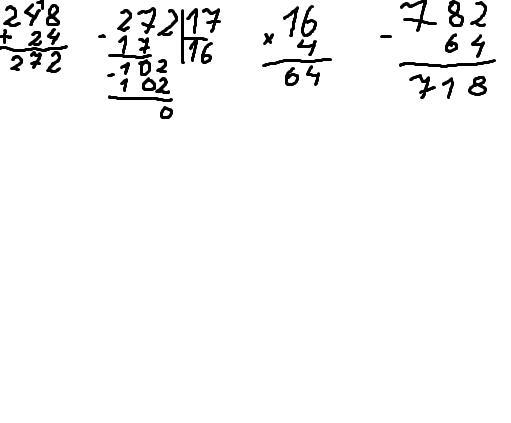
782-(248+24):17*4помагите пж только в столбик
Ответы
Автор ответа:
0
Ответ:
Пошаговое объяснение:
782-(248+24):17*4=718
248+24=272
272:17=16
16*4=64
782-64=718
Приложения:
Похожие вопросы
Предмет: Другие предметы,
автор: yulian4ik
Предмет: Английский язык,
автор: olaolaksksmail
Предмет: Русский язык,
автор: АНА2222
Предмет: Алгебра,
автор: Tedmedved99
Предмет: История,
автор: 21Maria12