Предмет: Алгебра,
автор: yiods
ПОМОГИТЕ ПОЖАЛУЙСТА, СЕГОДНЯ НУЖНО СДАТЬ РОБОТУ!
Приложения:
Ответы
Автор ответа:
1
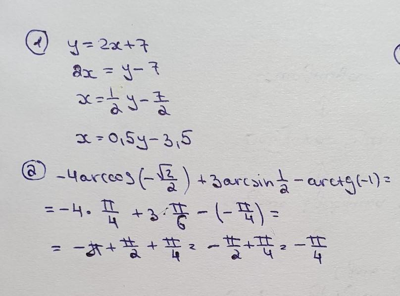
Ответ:
решение на фотографиях
Приложения:
yiods:
Спасибо большое!
Похожие вопросы
Предмет: Українська мова,
автор: yuliaforever1
Предмет: Другие предметы,
автор: арина1100
Предмет: Русский язык,
автор: Valyabalashova
Предмет: История,
автор: 12345678910466
Предмет: Русский язык,
автор: безимениегонет