Предмет: Математика,
автор: alisa181208zi
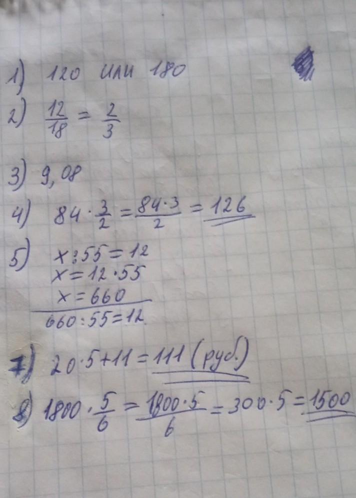
Решите номер:1,2,3,4,5,7,8.
Дам 15 даллв
Приложения:
Ответы
Автор ответа:
1
Ответ:
вот ответы, всё правильно, не волнуйся
Приложения:
Похожие вопросы
Предмет: Русский язык,
автор: серый106
Предмет: Русский язык,
автор: akulovaannushk
Предмет: Русский язык,
автор: marina151
Предмет: Математика,
автор: гуля494
Предмет: Математика,
автор: komrit