Предмет: Алгебра, автор: ukjhygf

Помогите срочно алгебра 10 класс!!! Пожалуйста приложите фото с решением!!! Отдам все баллы!!!

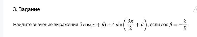
Приложения:

Ответы

Автор ответа: Universalka
0

5Cos(\pi+\beta)+4Sin(\frac{3\pi }{2}+\beta)=-5Cos\beta-4Cos\beta=\boxed{-9Cos\beta} \\\\Cos\beta=-\frac{8}{9}  \ \Rightarrow \ -9Cos\beta=-9*(-\frac{8}{9})=\boxed8

Похожие вопросы
Предмет: Русский язык, автор: siputka