Предмет: Геометрия,
автор: kmorozova277

Ответы
Автор ответа:
1
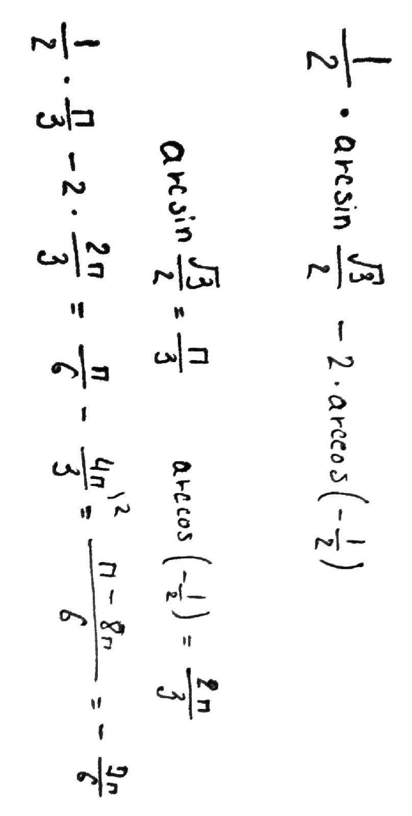
Ответ на закрепленном изображении
Приложения:
Похожие вопросы
Предмет: Русский язык,
автор: асия87
Предмет: Русский язык,
автор: dilbarpakhomov
Предмет: Русский язык,
автор: Аноним
Предмет: Математика,
автор: TemerTiger
Предмет: Математика,
автор: милана834