Предмет: Алгебра,
автор: vdenisovna469
Очень срочно нужно
Приложения:
vdenisovna469:
нет , только 6 ._.
от 5 до 9
ну сорри ._.
Окей ._.
Ответы
Автор ответа:
1
Ответ:
Объяснение:
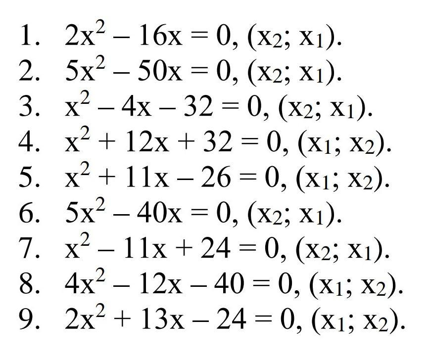
1. х₁=0 х₂ = 8
2. х₁=0 х₂ = 10
3. х₁=8 х₂ = -4
4. х₁= 10 х₂ = 4
5. х₁= -2 х₂ = 13
6. х₁=0 х₂ = 8
7. х₁=3 х₂ = 8
8. х₁=-2 х₂ =5
9. х₁=1,5 х₂ =- 8
Похожие вопросы
Предмет: Українська мова,
автор: yano4k83
Предмет: Русский язык,
автор: liliyapopova1
Предмет: Русский язык,
автор: goararestakesy
Предмет: Физика,
автор: lika25251
Предмет: Математика,
автор: LINIKPRO