Предмет: Математика,
автор: Ziyoda17
Даю пятнадцать баллов, срочно!
Приложения:
Ответы
Автор ответа:
2
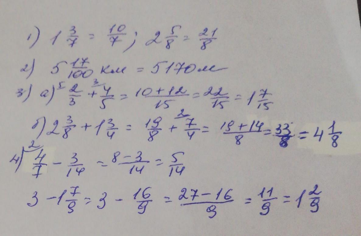
Ответ:
Пошаговое объяснение:
1 3/7=10/7
2 5/8=21/8
5170м
А)=10/15+12/15=22/15=1 7/15
Б)=2 3/8+1 6/8=3 9/8=4 1/8
В)=8/14-3/14=5/14
Г)=1 2/9
Ziyoda17:
Спасибо!
Пожалуйста
Автор ответа:
1
Ответ:
Смотри решение на фото
Приложения:
Спасибо!
Похожие вопросы
Предмет: Русский язык,
автор: Моталек
Предмет: Русский язык,
автор: Элдора1
Предмет: Русский язык,
автор: JuliaN11
Предмет: История,
автор: Незнайка11331
Предмет: Русский язык,
автор: ALEXANDR111111111111