Предмет: Математика, автор: cccpBELARUS

Нужно решить интеграл​

Приложения:

cccpBELARUS: И ещё нужно построить сам интеграл на графике

Ответы

Автор ответа: mionkaf1
1

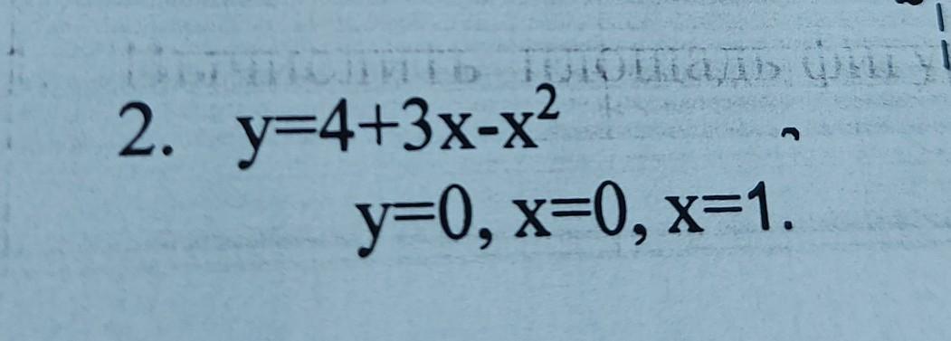
Рис. на фото

\displaystyle\\S=\int\limits^1_0 {4+3x-x^2} \, dx =\bigg(4x+\frac{3x^2}{2}-\frac{x^3}{3}\bigg)\mid ^1_0=4*1+\frac{3*1^2}{2}-\frac{1^3}{3}- \\\\\\-\bigg(4*0+\frac{3*0^2}{2}-\frac{0^3}{3}   \bigg)=\frac{31}{6}

Приложения:

cccpBELARUS: спасибо!
Похожие вопросы
Предмет: Русский язык, автор: kirakira1987