Предмет: Математика, автор: moldirotar

Вычислить двойной интеграл

Приложения:

Ответы

Автор ответа: NNNLLL54
1

Ответ:

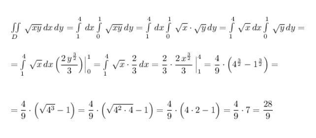
\iint \limits _{D}\, \sqrt{xy}\, dx\, dy=\int\limits^4_1\, dx\int\limits_0^1\, \sqrt{xy}\, dy=\int\limits^4_1\, dx\int\limits_0^1\, \sqrt{x}\cdot \sqrt{y}\, dy=\int\limits^4_1\, \sqrt{x}\, dx\int\limits_0^1\, \sqrt{y}\, dy=\\\\\\=\int\limits^4_1\, \sqrt{x}\, dx\, \Big(\dfrac{2\, y^{\frac{3}{2}}}{3}\Big)\Big|_0^1=\int\limits^4_1\, \sqrt{x}\cdot\dfrac{2}{3}\, dx=\dfrac{2}{3}\cdot \dfrac{2\, x^{\frac{3}{2}}}{3}\, \Big|_1^4=\dfrac{4}{9}\cdot \Big(4^{\frac{3}{2}}-1^{\frac{3}{2}}\Big)=

=\dfrac{4}{9}\cdot \Big(\sqrt{4^3}-1\Big)=\dfrac{4}{9}\cdot \Big(\sqrt{4^2\cdot 4}-1\Big)=\dfrac{4}{9}\cdot \Big(4\cdot 2-1\Big)=\dfrac{4}{9}\cdot7=\dfrac{28}{9}

Приложения:

moldirotar: Здравствуйте,можете ссылку скинуть или фото заново,тут не полностью видно,пожалуйстаа))
NNNLLL54: фото добавила
moldirotar: Спасибо вам огромное)
Похожие вопросы
Предмет: Математика, автор: Vasilisa7007
Предмет: Алгебра, автор: vvashr