Предмет: Математика,
автор: PacketPacketovich
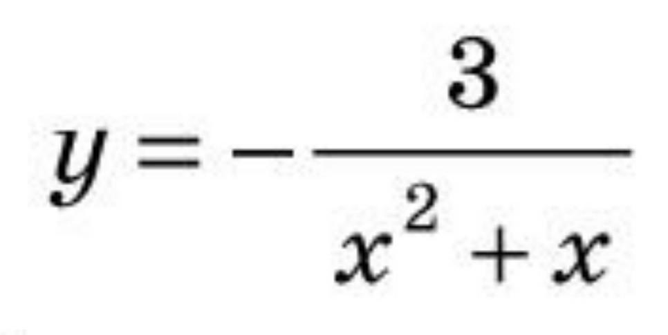
Знайдіть область визначення функції.
Приложения:
Ответы
Автор ответа:
1
Ответ:
Похожие вопросы
Предмет: Русский язык,
автор: olesyaivlieva
Предмет: Русский язык,
автор: 14smelo93
Предмет: Английский язык,
автор: chuevakristina
Предмет: Английский язык,
автор: dog9910
Предмет: Қазақ тiлi,
автор: Yki1