Предмет: Математика,
автор: mihajlenkoevgenia489
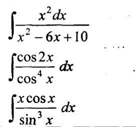
Помогите решить, пожалуйста!)
Приложения:
Ответы
Автор ответа:
0
Ответ:
решение на фотографиях
Приложения:
ekaterinaturenkova38:
Мирослава, здравствуйте. Помогите мне пожалуйста с математикой
Похожие вопросы
Предмет: Русский язык,
автор: mukinabasha75
Предмет: Окружающий мир,
автор: kadriya1988
Предмет: Русский язык,
автор: Muhammad941
Предмет: Математика,
автор: Помогите1111111влыз
Предмет: Математика,
автор: lizok938