Предмет: Алгебра,
автор: mashazauseva
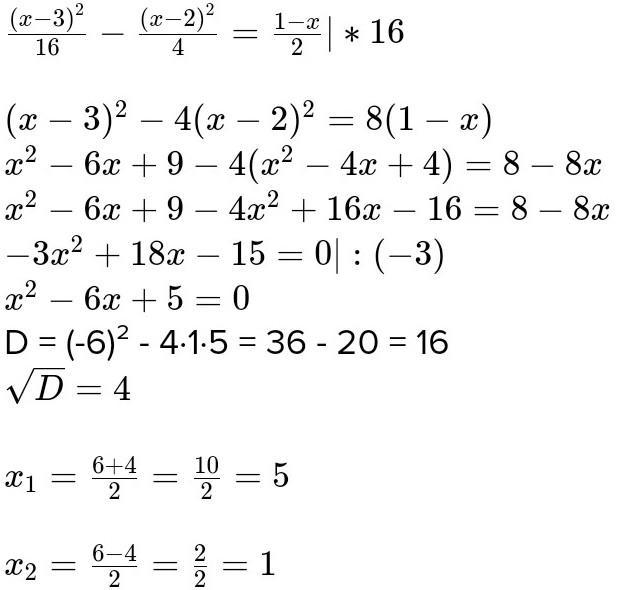
(x-3)^2/16-(x-2)^2/4=1-x/2 если что "/" не просто деление а дробь, котороя делит на чисельнык и знаменнык, это оооочень срочно!!!!!
Ответы
Автор ответа:
1
Ответ:
://///////////////////////
Приложения:
Похожие вопросы
Предмет: Русский язык,
автор: вика01082007
Предмет: Українська література,
автор: boinezoopeteee
Предмет: Қазақ тiлi,
автор: 12345340
Предмет: Математика,
автор: vikolvitaliy1