Предмет: Геометрия,
автор: musatovaalexashka
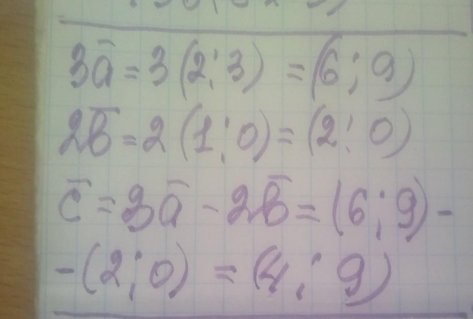
Найдите координаты вектора c=3a-2b, если a (2; 3), b (1; -0).
Ответы
Автор ответа:
1
Ответ:
решение смотри на фотографии
Приложения:
Похожие вопросы
Предмет: Русский язык,
автор: sliskaya
Предмет: Русский язык,
автор: МиСаКи123
Предмет: Русский язык,
автор: zhanbota3
Предмет: Геометрия,
автор: лол1689
Предмет: Математика,
автор: ОльгаЛазарева