Предмет: Математика,
автор: kukumashka
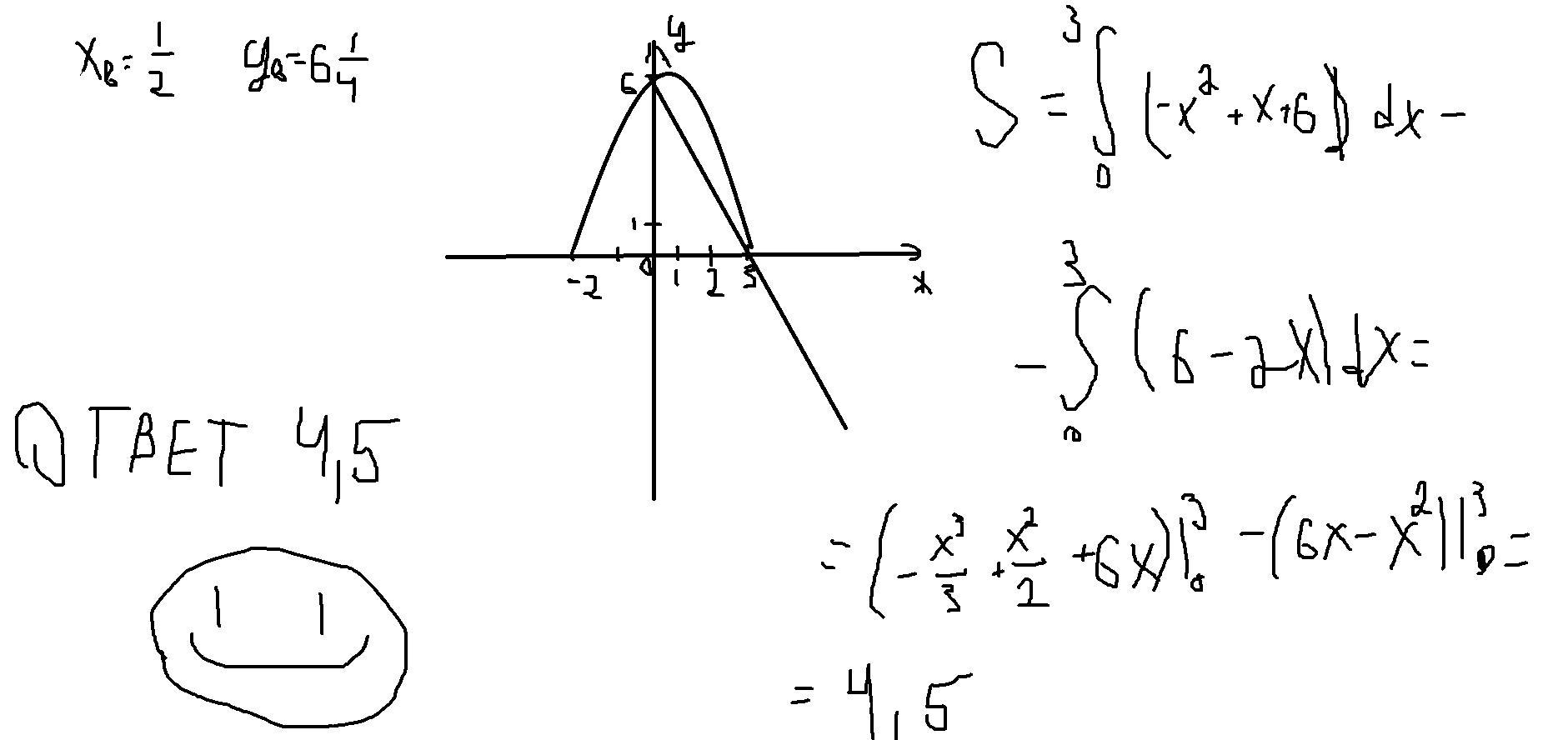
Вычислите площадь фигуры, ограниченной линиями: y=6+x-x^2, y=6-2x / ПОЖАЛУЙСТА ХЕЛП ОЧ ОЧ НАДО, Я БУДУ БЛАГОДРна
ismars:
вы можете отметить мое решение как лучшее!
Ответы
Автор ответа:
0
Ответ:
Пошаговое объяснение:
Смотрите решение в прикрепленном файле
Приложения:
сможете ли Вы написать числа в формуле : -b/2a?
x1= 0 или 3? не понимаю вообще :/
b=1, a= -1
прямая пересекает параболу в точках с абсциссами 0 и 3
Похожие вопросы
Предмет: Қазақ тiлi,
автор: Ернұр
Предмет: Другие предметы,
автор: SaintMan11
Предмет: Окружающий мир,
автор: tirizilova
Предмет: Математика,
автор: Vither1
Предмет: Информатика,
автор: Аноним